コレクションベストイメージ画像

Https Encrypted Tbn0 Gstatic Com Images Q Tbn 3aand9gcshjxrs29q L2j39qlgyrq0nzjvrypkzi8rww Usqp Cau

Integration X 1 Sin X Dx Explain In Great Detail And Give Full

The Value Of Is 2 Sinx Sin X P 4 Dx Sarthaks Econnect

Ex 7 10 5 Evaluate 0 Pi 2 Integral Sin X 1 Cos2 X Dx

Integral From 0 To P X 1 Sinx Studyrankersonline

Feynman S Trick Sin X X Youtube

Https Encrypted Tbn0 Gstatic Com Images Q Tbn 3aand9gct8centsdhmo7 Yfr0bbufsl Yfeldsbnubbv1yqaml8kphartw Usqp Cau

Https Encrypted Tbn0 Gstatic Com Images Q Tbn 3aand9gctc5rjetsdkwbws6uilsxyj5odxjubcrqyxvo7torine Xopexe Usqp Cau

Integral Of Sin 4 X Video Integrals Khan Academy

Https Encrypted Tbn0 Gstatic Com Images Q Tbn 3aand9gcqbbajryv1mbtxlozopoozzxzgmvpxltezkgw Usqp Cau

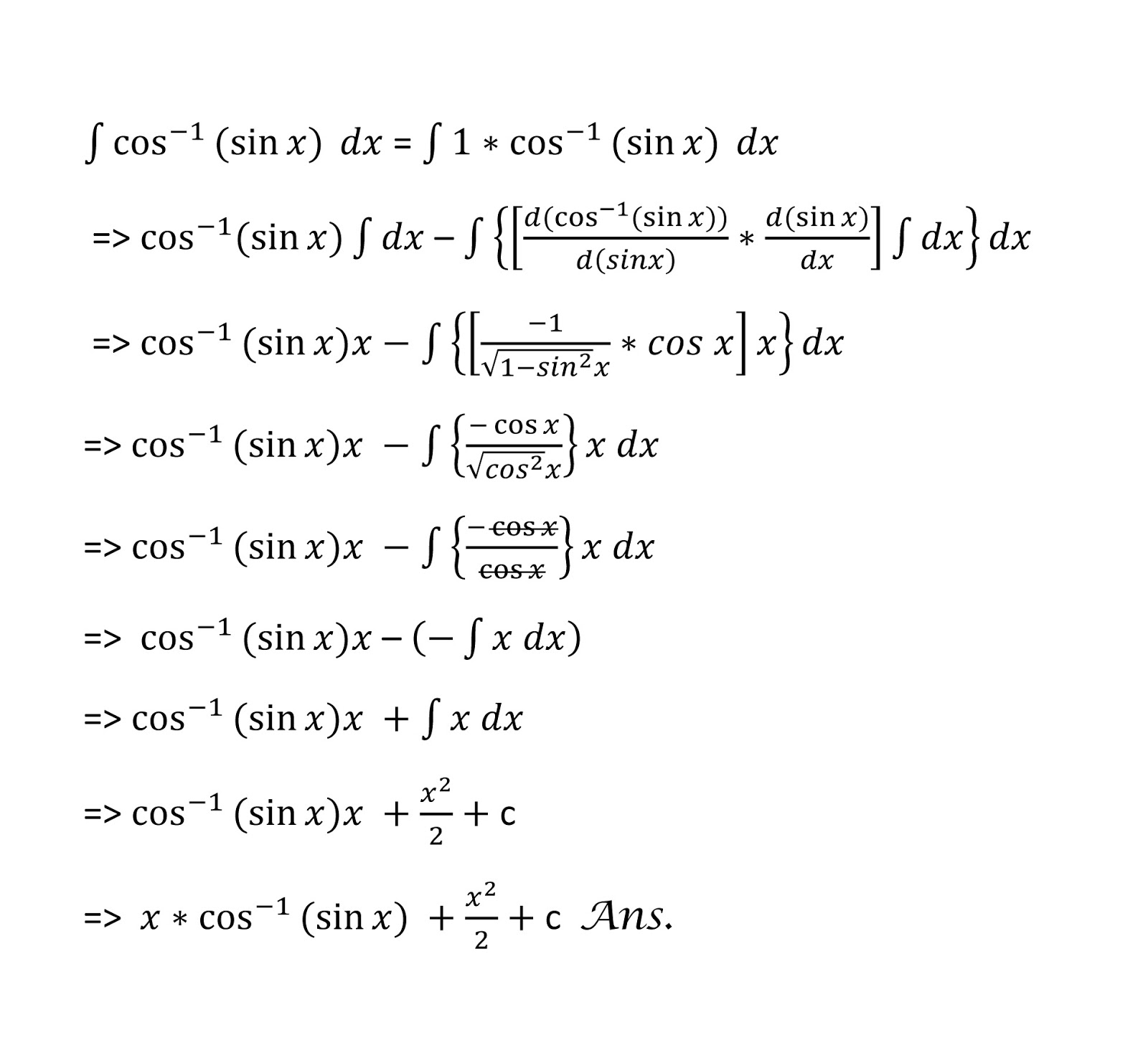
Estudy How Do You Find The Integral Cos 1 Sin X Dx

Integration Of Sin X A Sin X A

Is There Any Method To Solving The Integral Of Sin X X Quora

Solved A Consider Double Integrate Y Sin X 2 Dx Dy Sk

How Do You Find The Integral X Sin X 2 Dx Socratic

Ilectureonline

Integral Of Sin X 1 Sin X Weierstrass Substitution Youtube

The Perplexing Integral Of Sin X Cos X Sunday Puzzle Mind

Evaluate Int 3x Frac 6x 2 Sin 2 Frac X 2 X Sin X

What Is The Value Of Math Int 0 Infty Frac Sin X X Mathrm

The Perplexing Integral Of Sin X Cos X Sunday Puzzle Mind

Solved Evaluate The Indefinite Integral As An Infinite Se

Integral 0 To 10 P Modulus Of Sin X Dx Brainly In

Integrate E X Sin X

8 The Improper Integral Sinx X Dx Converges T Chegg Com

Solved In Exercises 5 30 Evaluate The Indicated Integral

Integration By Parts

G I V E Nint 0 Pi 2 Dx 1 Sinx Cosx Log2 Then The Value

8 The Integral Int 0 Pi X F Sin X D X As Equal To Begin

The Perplexing Integral Of Sin X Cos X Sunday Puzzle Mind

Ilectureonline

Ex 7 11 12 Using Properties Evaluate X Dx 1 Sin X Dx

Limit 0 To Pi 2 Integration Xsinx Brainly In

Integral 0 Pi X 1 Sin Alpha Sin X

The Perplexing Integral Of Sin X Cos X Sunday Puzzle Mind

Integral Of Sin X X From 0 To Infinity Add Just A Bit Of Pi

Https Orion Math Iastate Edu Miriamc 8 2 Notes166 Sp17 Pdf

Integral Calculus Formula Sheet 0

Misc 7 Integrate Sin X Sin X A Chapter 7 Class 12

Video 2817 Integrate Sinx X Part 1 2 Youtube

Vector Analysis By Alimkanwalimtinaa Issuu

Reduction Formula For Integral Of Sin N X Dx Steemit

Integral Of X Log Sin X Mathematics Stack Exchange

Dirichlet Integral Wikipedia

Integral Of E X Sin X By Parts Youtube

Answered Evaluate The Following Integral Sin X Bartleby

Integral Of Sin X Sin X 1 Dx From 0 To 2pi Physics Forums

31 The Integral Sin X Cos X J Sin X Cosºx Sinx Sinx Cos X Cos X

How Do You Integrate Sinx Cosx Cos2x Dx Socratic

Evaluate A Definite Integral Of Sin X 1 Cos X Sin X

Find The Integration Of Limit 0 To Pi 2 X Sin X Cos X Dx Brainly In

Evaluate The Definite Integrals Int Pi 6 Pi 3 Sin X Cosx

Int Cosx Sinx 1 X E X Sinx X Dx Ln F X G X C Where C Is The

Https Www Southhadleyschools Org Cms Lib Ma02202349 Centricity Domain 1183 5 6 Pdf

Solved Use Integration By Parts To Show That Integral B A

Solved Integral Sin X X Dx Converges 8 The Improper

Find The Integral Of Sin X Xcosx Dx X X Sinx Math

Integral Of Sinx X From 0 To Inf Using Laplace Transform Youtube

Difficulties Understanding A Proof Of Int 0 Infty Frac Sin

2 8 Integration Of Trigonometric Functions Ppt Download

Solving The Integral Of Cos X Video Lesson Transcript Study Com

Integration Ex 1 Sin X 1 Cos X Dx Explain In Great Detail

Integral Of Sin X Sin X Cos X Substitution Youtube

The Si X Function Ib Maths Resources From British International

Geneseo Math 222 01 Integration By Parts

Use Taylor Polynomials To Approximate The Integral Of Sin X X

Answered 10 10 X 10 Use The Substitution Bartleby

Integration E2x Sin X Dx Explain In Great Detail Mathematics

Solved As One Can Show Integral Infinity 0 Sin X X Dx P

Integral Of Sin X Geometric Intuition Betterexplained

1

What Is Math Int Frac Sin X X Mathrm Dx Math Quora

Integrate E X Sin X

Dirichlet Integral Wikipedia

What Is The Value Of Math Int 0 Infty Frac Sin X X Mathrm

Integral Of Tan X Video Khan Academy

Https Faculty Math Illinois Edu Murphyrf Teaching M142 S2007 E2 Practice2 Solutions Pdf

Integral Calculator Integrate With Wolfram Alpha

Show That Int 0 2 Pi Cos 2 X Dx Int 0 2 Pi Sin 2 X

Solved Evaluate The Following Indefinite Integral As An I

The Perplexing Integral Of Sin X Cos X Sunday Puzzle Mind

How Do You Integrate Sinx 2 Dx Socratic

Suppose That F X Is An Antiderivative Of F X Sinx X X Gt 0

Ex 7 6 21 Integrate E 2x Sin X Using Integration By Parts

Integral Of Sin X Sqrt 1 Cos X Calculus Trig Integrals

Find The Value Of Integral Xf Sin X Dx With Upper Limit Pi And

How Do You Find The Integral Of E X Sinx Socratic

Techniques Of Integration

Video Evaluating A Double Integral Nagwa

What Is The Integral Of Sin X Quora

Integral From 0 To Infinity Sin X X In 2 Minutes Using The

The Main Dish Integral Of Sin X X From 0 To Inf Via Feynman S

What Is The Value Of Math Int 0 Infty Frac Sin X X Mathrm

Https Encrypted Tbn0 Gstatic Com Images Q Tbn 3aand9gcqluw0mmubsxqcfcuwgifwgaeliqzat0mf1w96ywd4363lnp Wg Usqp Cau

Reduction Formula For Integral Of Sin N X Dx Steemit

Integration Of Sinx Sin X Alpha

Find The Integral Int Limits 0 Pi 6 Sin X Cos 2 X

31 The Integral Sin X Cos X J Sin X Cosºx Sinx Sinx Cos X Cos X

Borwein Integral Wikipedia

What Is Math Int Frac Sin X X Mathrm Dx Math Quora

Integral Of Sin X Geometric Intuition Betterexplained

What Is The Integral Of Sin X Dx From X 0 To X Pi Week 12

Misc 26 Definite Integral Sinx Cosx Cos4 X Sin4 X Miscellaneou

Integral From 0 To P X Sin X Cos2 Xdx Studyrankersonline