コレクションベストイメージ画像

X 2 3xdx求不定积分 雨露学习互助

Sinx方的导数 Cosx的导数 Sin2x的导数 Sinx的导函数

Integral Of 1 Sin 4 X Substitution Youtube

不定積分不定積分的概念不定積分的定義16 不定積分的概念16 1 不定積分

F X Cos 4x 2sinxcosx Sin 4x高一数学题 为您提供金融留学移民交友

微积分问题sinx的4次方的积分如何求

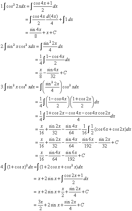
江苏省专转本高数全部知识点第一讲 极限 洛比塔法则第三讲 导数与

Sin 4 Sin 6 Dt的不定积分怎么求 百度知道

Https Ocw Mit Edu Courses Mathematics 18 01sc Single Variable Calculus Fall 2010 Unit 4 Techniques Of Integration Part A Trigonometric Powers Trigonometric Substitution And Completing The Square Session 69 Integral Of Sin N X Cos M X Even Exponents Mit18 01scf10 Ses69b Pdf

Cn102590548a 一种螺旋卸料沉降离心机螺旋与转鼓速差的测量方法

What Is The Integration Of Sin 2x Cos 4x And The Angle Is Theta

可以帮看下这个不定积分的求法吗 知乎

积分sin 4xcos 2x Dx 雨露学习互助

Verifying Trigonometric Identities Q18 Sin 4x Cos 4x Youtube

What Is The Integral Value Of Cos 3x Cos 5x Quora

Mathematica简介 Sjtusorcerer

1 Sinx Cos2x 2 Dx 信欣茗數學園地 隨意窩xuite日誌

微分怎么算 微分升学入学

证明 Sin 2p 7 Sin 3p 7 Sin P 7 7 2 几何 包括平面几何

數學難題 求大大 中四2条26a 27 數學問題區 功課問題及解答 香港

三角函数高次幂的积分数学中解不等式奇穿

在线计算专题 07 不定积分 定积分与重积分 曲线 曲面积分的计算

Cos4x 2yamaha Com

Integral Of Sin 4 X Video Integrals Khan Academy

What Is The Integration Of Sin 4x Cos 4x Quora

Trig Function Acm2017 Csdn博客 F Trig博客

Definite Integral Of Sin 2 X Cos 2 X Youtube

Integrale Sin 4 X Cos 3 X Dx Youtube

How To Integrate Sin 4 X Cos 2 X Dx Even Powers Youtube

Int 0 Pi 2 Xsinxcosx Cos 4x Sin 4x Dx

Find The Indefinite Integral E 4x Cos 2x Dx Homework Help

微积分问题sinx的4次方的积分如何求

可以帮看下这个不定积分的求法吗 知乎

可以帮看下这个不定积分的求法吗 知乎

Sin 4x Cos 2x Express The Product As A Sum Youtube

可以帮看下这个不定积分的求法吗 知乎

请教一下 下式的不定积分是什么 知乎

2020考研陪你做真题 2013 解答题 研途hui 微信公众号文章阅读 Wemp

Methods Of Integration 積分的方法 Ppt Download

2011重修高数 4 不定积分2 图文 百度文库

Integral Of Sin 2 X Cos 6 X Substitution Youtube

积分sin Cos 积分 Sin2x积分 Sin平方的积分

关于不定积分的几道题目积分sin X Lntanx Dx积分e的x的1 3次幂积分xe X

Ppt 學習內容powerpoint Presentation Free Download Id 6006692

Sinxcosx的积分 2cosxsinx Cosxsinx的积分 积分sinxcosx

结石 八月2020

可以帮看下这个不定积分的求法吗 知乎

Find The Indefinite Integral E 4x Cos 2x Dx Homework Help

Int 0 Pi 2 Xsinxcosx Cos 4x Sin 4x Dx

Integral Of Sin 4 X Video Integrals Khan Academy

問題不定積分を教えてください よろしくお願い致します Sin4xcos2x

Cos4x 2yamaha Com

Cn101324825b 利用多个互不正交的波的声学条件传感器 Google Patents

What Is The Integration Of Sin 4x Cos 4x Quora

積分をして下さい Sin 4x Cos 2x Sin 2x 2sinxcosx 2 4 Sin 2x

王者荣耀内存高达5g手机空间不足mathmagic会输入错误 高数微积分

Int 0 Pi 2 Xsinxcosx Cos 4x Sin 4x Dx

數謎 2016

结石2020 有趣的文章

1 Sinx Cos2x 2 Dx 信欣茗數學園地 隨意窩xuite日誌

Evaluate The Integral Cos 5 X Sin 4 X Dx Youtube

Find The Indefinite Integral E 4x Cos 2x Dx Homework Help

Integral Of Sin 2 X Cos 4 X Substitution Youtube

数3 積分の問題です 問 次の不定積分を求めよ Sin 3xdx

2019年6月爱德思a Level数学c34考情回顾分析 翰林教育alevel课程资讯站

关于不定积分的几道题目积分sin X Lntanx Dx积分e的x的1 3次幂积分xe X

Https Encrypted Tbn0 Gstatic Com Images Q Tbn 3aand9gcrk4yhdrndher5zmz56xk9bf4haspabjykvqcxddsvurixbfogx Usqp Cau

微积分问题sinx的4次方的积分如何求

2

數謎 2016

Methods Of Integration 積分的方法 Ppt Download

关于不定积分的几道题目积分sin X Lntanx Dx积分e的x的1 3次幂积分xe X

0 2p Sin 4x Cos 2xdx の求め方について詳しく教えてください

Integral Of 1 Sin 2 X Cos 2 X Youtube

积分sin 4xcos 2x Dx 雨露学习互助

Find The Indefinite Integral E 4x Cos 2x Dx Homework Help

2017专插本数学复习必看 不定积分精选题目解析 广东专插本教育网

數學難題 求大大 中四2条26a 27 數學問題區 功課問題及解答 香港

2013年10月全国自考 高等数学 一 试题和答案 完整版文档下载 皮匠

Cos4x 2yamaha Com

定积分

E的负2x次方乘以 Sin2x平方 的不定积分 作业帮

Indefinite Integration 1 Sin 4x Cos 4x Dx Cbseexams Xii

积分sin Cos 积分 Sin2x积分 Sin平方的积分

积分sin Cos 积分 Sin2x积分 Sin平方的积分

利用棣摩弗公式将cos48和sin48展开成sin8和cos8的多项式 360问答

Https Ocw Mit Edu Courses Mathematics 18 01sc Single Variable Calculus Fall 2010 Unit 4 Techniques Of Integration Part A Trigonometric Powers Trigonometric Substitution And Completing The Square Session 69 Integral Of Sin N X Cos M X Even Exponents Mit18 01scf10 Ex69sol Pdf

Https Encrypted Tbn0 Gstatic Com Images Q Tbn 3aand9gcqhv3edcqxm52nlmyktrmqlp2ayqaqtfpjecy4nfaak I 6hk0s Usqp Cau

How To Solve Sin 4x Cos 2x Dx Socratic

积分sinxcos2xdx Sinxcos2xdx的不定积分

Find The Indefinite Integral E 3x Sin 5x Dx Homework

數謎 2016

徳島大学 医 保健 工学部 2014年問題3 Suugaku Jp

2019考研数学 一道求极限题目的不同解法

Integration Of Sin 4 X Youtube

What Is The Integration Of Sin X 2 In The Limit 0 To P 2 Quora

微積分6 2 分部積分法 斯達奈異度空間 張耀英數理教室 痞

求xsin 6xcos 4xdx从0到p的定积分 为您提供金融留学移民交友丰胸整容等信息

广义积分习题课 百度文库

2019年05不定积分的概念与性质 Ppt 图文 百度文库

Ppt 學習內容powerpoint Presentation Free Download Id 6006692

Int 0 Pi 2 Xsinxcosx Cos 4x Sin 4x Dx